Hi all,
I'm finally taking the time to dig into getting the Space Demon mini cab that I laid hands on last summer working again. I was able to procure a few board sets, but both are in need of repair.
I purchased a semi-working Space Firebird boardset on feeBay a few months back, but it has missing sprites and seems to want to freeze during attract mode.
Also, big thanks to Mongo for sharing his Space Demon boardset with me. It's non working, but hopefully I'll be able to use it to assist in my repair.
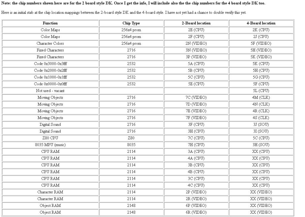
From what I understand (reading in the KLOV databse), space Firebird was the parent of Space Demon, with Space Demon being a clone licensed by Fortrek from Nintendo. Since all of the connectors and hardware for this cabinet and game resemble early Donkey Kong wiring, this is consistent from what I've read.
I have a complete working power supply and harness for this game, so now I can get to working on the 2 PCB sets I have.
Where to start? Here are the 2 videos showing what the 2 boards are doing out of the box, right now. The 1st video is my Space Firebird board - it boots, but there are missing graphics, and it freezes during attract mode. The 2nd video is Mongo's Space Demon board - as you can see, it boots to garbage.
A few pics of Mongo's boards:
As I understand it, the top board pictured is the audio board, the middle picture is the CPU board, and the 3rd picture is the graphics board. Is that correct?
Comparing Mongo's board to my own, they appear identical. I read online that a few other people have successfully converted a Space Firebird PCB to a Space Demon PCB by swapping roms, so that's what I'd like to try to do. But first I need to get a fully working boardset. I figure since the Space Firebird board set is working a bit better, I'd start with that set first.
Tools I own:
I'm finally taking the time to dig into getting the Space Demon mini cab that I laid hands on last summer working again. I was able to procure a few board sets, but both are in need of repair.
I purchased a semi-working Space Firebird boardset on feeBay a few months back, but it has missing sprites and seems to want to freeze during attract mode.
Also, big thanks to Mongo for sharing his Space Demon boardset with me. It's non working, but hopefully I'll be able to use it to assist in my repair.
From what I understand (reading in the KLOV databse), space Firebird was the parent of Space Demon, with Space Demon being a clone licensed by Fortrek from Nintendo. Since all of the connectors and hardware for this cabinet and game resemble early Donkey Kong wiring, this is consistent from what I've read.
I have a complete working power supply and harness for this game, so now I can get to working on the 2 PCB sets I have.
Where to start? Here are the 2 videos showing what the 2 boards are doing out of the box, right now. The 1st video is my Space Firebird board - it boots, but there are missing graphics, and it freezes during attract mode. The 2nd video is Mongo's Space Demon board - as you can see, it boots to garbage.
A few pics of Mongo's boards:
As I understand it, the top board pictured is the audio board, the middle picture is the CPU board, and the 3rd picture is the graphics board. Is that correct?
Comparing Mongo's board to my own, they appear identical. I read online that a few other people have successfully converted a Space Firebird PCB to a Space Demon PCB by swapping roms, so that's what I'd like to try to do. But first I need to get a fully working boardset. I figure since the Space Firebird board set is working a bit better, I'd start with that set first.
Tools I own:
- DMM
- Logic Probe
- Rom Burner (have not used much, though)
- Rom eraser
- various soldering paraphernalia (irons, desoldering gun, jumper wire, etc)
- Chip extractor
- test bed with spare fully working (100%) Sanyo 20EZ monitor
- lots of tenacity and patience

